آموزش کامل و توضیح تمامی گزینه های ایتبس (etabs) به همراه عکس
جلسه هفتم
جلسه هفتم
تا به اینجا با روش تعریف Grid ها در پلان و ارتفاع، آشنا شدیم.اگر به هر دلیل مجبور به تغییر Grid ها شدیم،به طرق زیر میتوان عمل نمود:
1) استفاده از منوی Edit بالای پنجره اصلی برنامه

در این حالت میتوان دو گزینه Edit Grid Data و یا Edit Story Data را انتخاب نمود که به ترتیب مربوط به گریدهای پلانی و گریدهای طبقات میباشند.
* بعد از انتخاب Edit Grid Data ، روی Edit Grid کلیک نمایید، با این عمل پنجره ای به شکل زیر باز میشود:

در این صفحه روی گزینه Modify/Show System کلیک نمایید تا وارد صفحه ویرایش گریدها شوید.
* بعد از انتخاب Edit Story Data، روی Edit Story کلیک نمایید.تفاوتی که این حالت با Edit Grid Data دارد این است که در این حالت مستقیما وارد صفحه ویرایش گریدها میشوید.
2) کلیک راست در یکی از نماها
دو گزینه Edit Grid Data و Edit Story Data وجود دارد، که در این حالت نیز دقیقا همانند روش قبل میتوان وارد صفحه ویرایش گریدها شد.
3) دبل کلیک بر روی یکی از گریدها.دقت کنید که در این روش مستقیما وارد صفحه ویرایش گریدهای پلانی میشوید و ضمنا در این روش امکان ویرایش گریدهای طبقات در این روش وجود ندارد.
خب....تا اینجا تعریف و ویرایش گریدها را در پلان و در ارتفاع فرا گرفتید.اکنون ادامه توضیحات:

اگر یادتان باشد گفتم در قسمت پایین صفحه فوق یک سری سقف پیش فرض وجود دارد.بنده به شخصه در طی این چند سالی که با این نرم افزار کار کرده ام، هیچ گاه از این سقفهای پیش فرض استفاده ننموده ام! اما برای اینکه بحث ناقص نماند یک اشاره مختصری به آنها میکنم.
Steel Deck: برای تعریف سقفهای کامپوزیت از این گزینه استفاده میشود.
Staggered Truss: کمربند خرپایی.این قسمت مربوط به ساختمانهای مرتفع تحت بار باد میباشد.
Flat Slab: دال تخت.دالها مستقیما روی ستونها قرار میگیرند .
Flat Slab with Perimeter Beams: دال تخت با تیرهای پیرامونی.در این حالت ستونهای پیرامونی توسط تیرهایی به هم متصل میشوند.
Waffle Slab: دال مجوف. دالهای مجوف نوعی از اجرای دالها هستند نه سیستم خاص.
Two Way or Ribbed Slab: برای تعریف دالهای دو طرفه.
Grid Only: این گزینه که حالت پیش فرضِ برنامه نیز روی همین گزینه سوییچ است، مربوط به حالتی است که نمیخواهیم از سقفهای پیش فرض برنامه استفاده نماییم و فقط گریدهای پلانی و ارتفاعی را ایجاد مینماید.ما همواره با این گزینه کار میکنیم.
منوی Define
این منو نیز در بالای صفحه اصلی برنامه قرار گرفته است و دارای گزینه هایی برای تعریف مشخصات مصالح، مقاطع، سقفها و... میباشد.به شکل زیر توجه نمایید:

خب... حالا به ترتیب هریک از منوها شرح میدهم.
Material Properties: همان طور که از نام این گزینه مشخص است، این گزینه مربوط به تعریف مشخصات و ویژگیهایی مصالح میباشد.
با انتخاب این گزینه پنجره ای به شکل زیر باز میشود:

ابتدا قسمتهای مختلف پنجره فوق را بطور کلی شرح میدهم و بعد از آن جزئیات آن را توضیح میدهم:
سمت چپ:
Materials: در این قسمت نام مصالح تعریف شده نمایش داده میشوند.
سمت راست:
Add New Material: برای تعریف مصالح جدید از این گزینه استفاده میشود.
Modify/Show Material: برای ویرایش و نمایش مصالح تعریف شده از این گزینه استفاده میشود.
Delete Material: برای حذف مصالح تعریف شده از این گزینهاستفاده میشود.
* توجه: برای تعریف یک ماده فولادی جدید بهتر است در پنجره راست،در قسمت Materials روی گزینه STEEL و برای تعریف یک ماده بتنی جدید روی CONC کلیک نماییم تا انتخاب شوند.با این کار مقادیر مربوط به پارامترهای فولاد و بتن بصورت پیش فرض در قسمتهای مربوطه (در ادامه نشان داده خواهد شد) وارد میشوند.
*اگر بخواهیم ماده جدیدی به غیر از فولاد و بتن تعریف کنیم، میتوان رویOTHER کلیک کرده و ویژگهای مورد نظر را وارد نماییم.
اکنون روی OTHER کلیک نمایید و سپس با فشردن دکمه Add New Material وارد قسمت تعریف مشخصات مصالح شوید.با این عمل پنجره ای به شکل زیر باز میشود:

Material Name: در این قسمت یک نام اختیاری برای ماده مورد نظر انتخاب مینماییم.سعی کنید نامی انتخاب کنید که مرتبط به نوع ماده باشد.
Type of Material: شامل Isotropic برای مصالح ایزوتروپ و Orthotropic برای مصالح غیر ایزوتروپ میباشد.
* یادآوری:
مصالح ایزوتروپ: در هر نقطه ویژگی مصالح در تمام جهت باهم برابر و ثابت است.فولاد و بتن در این گروه قرار دارند.
مصالح غیر ایزوتروپ: در هر نقطه ویژگی مصالح در جهات مختلف متفاوت است.
* اگر گزینه Orthotropic را انتخاب نمایید، میبایست برای سه جهت x وy وz مشخصات را وارد نمایید.
Analysis Property Data: در این قسمت آن دسته از مشخصات مصالح را که برای آنالیز مورد استفاده قرار میگیرد، وارد مینماییم.
این پنجره خودش شامل قسمتهای زیر میباشد:
Mass per unit Volume: جرم واحد حجم که همان جرم مخصوص میباشد.
Weight per unit Volume: وزن واحد حجم که همان وزن مخصوص میباشد.
* توجه: ( جرم مخصوص= وزن مخصوص تقسیم بر شتاب ثقل )
تذکر: طبق مبحث ششم مقررات ملی جدول پ 6-1-2 جرم مخصوص بتن آرمه 250 کیلوگرم بر متر مکعب و جرم مخصوص فولاد نرمه 7850 کیلوگرم بر متر مکعب میباشد.
Modulus of Elasticity: مدول الاستیسیته که برای فولاد 2.1E10 کیلوگرم بر متر مربع و برای بتن از رابطه زیر بدست می آید:

در رابطه فوق fc بر حسب مگاپاسکال میباشد (صفحه 145 مبحث نهم ویرایش 1385)
Coeff. of Thermal Expansion: ضریب انبساط حرارتی.به جز برای طراحی مخازن و برخی سوله ها، نیازی به استفاده از ضریب انبساط حرارتی نمیباشد.برنامه به طور پیش فرض تغییر درجه حرارت را صفر در نظر میگیرد، لذا نیازی به وارد نمودن این ضریب برای سازه های معمول نمیباشد.
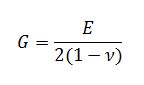
Shear Modulus: مدول برشی.برنامه این ضریب را از روی مقادیر ضریب پواسون و الاستیسیته محاسبه مینماید (طبق رابطه زیر):

Display Color: رنگی که برای ماده مورد نظر انتخاب مینماییم.با کلیک بر روی قسمت نمایش رنگ، پنجره دیگری باز میشود که میتوان رنگ دلخواه را انتخاب نمود.
Type of Design: این قسمت شامل سه گزینه Steel ، Concrete و None میباشد. با انتخاب هریک از گزینه های Steel یا Concrete در قسمت Design Property Data گزینه های جدیدی ایجاد میشوند.
Design Property Data: در این قسمت پارامترهایی را که در فاز طراحی مورد استفاده قرار میگیرند به برنامه معرفی مینماییم.
* توجه: برنامه ETABS ، ساختمان با هر گونه مصالحی را میتواند تحلیل نماید اما فقط ساختمانهای فولادی و بتنی را میتواند طراحی نماید.
*توجه: اگر در قسمت Type of Design گزینه None را انتخاب نماییم، برنامه فقط سازه را تحلیل میکند.
*توجه: اگر در صفحه Define Materials روی گزینه STEEL یا CONC کلیک نماییم و سپس گزینه Add New Material را انتخاب نماییم، قسمت Type of Design از قبل انتخاب شده است و قابل تغییر نمی باشد.
و اما توضیح قسمت مربوط به Design Property Data:
ابتدا حالتی را توضیح میدهم که گزینه Steel را در قسمت Design Type انتخاب کرده باشیم.با این عمل گزینه های زیر را درقسمت Design Property Data خواهیم داشت:
Minimum Yield Stress,Fy: تنش تسلیم فولاد که برای فولاد ST 37 برابر با 2400 کیلوگرم بر سانتی متر مربع میباشد.
Minimum Tensile Strength,Fu: تنش کششی فولاد که برای ST 37 برابر 3700 کیلوگرم بر سانتی متر مربع میباشد.
Cost per unit Weight: قیمت واحد وزن آهن.کاربرد این گزینه در طراحی سقفهای کامپوزیت است که میتواند بر مبنای کمترین هزینه آن را طراحی نماید که ما با این گزینه کاری نداریم و عدد آن را تغییر نمیدهیم.
اگر گزینه Concrete را در قسمت Design Type انتخاب نماییم گزینه های زیر را درقسمت Design Property Data خواهیم داشت:
Specified Conc Comp Strenght,fc: مقاومت فشاری بتن
Bending Reinf. Yield Stress,fy: تنش تسلیم میلگردهای طولی (خمشی)
Shear Reinf. Yield Stress,fys: تنش تسلیم آرماتورهای برشی (خاموت)
Light Weight Concrete: از این گزینه برای طراحی سازه بر مبنای بتن سبک استفاده میشود.این گزینه برای ما کاربردی ندارد.
Shear Strength Reduc. Factor: ضریب کاهش مقاومت بتن سبک.این گزینه زمانی فعال میشود که بتن سبک را انتخاب نموده باشیم.این گزینه نیز برای ما کاربردی ندارد.
*توجه:

*توجه مهم: در کلیه موارد فوق و در هنگام وارد نمودن اعداد مربوطه، حواستان به این نکته که چه واحدی را در ابتدای کار انتخاب نموده اید معطوف سازید و کلیه اعداد را بر همان مبنا وارد نمایید.در غیر اینصورت با نتایج عجیبی روبرو خواهید شد!
پایان جلسه هفتم
لینک دانلود جلسه هفتم
مطالب این وبلاگ خلاصه ای از وبلاگها و سایتهای عمرانی می باشد.